最近被问到了关于ADT的事情呢,于是想写一篇速通关于ADT、递归类型是怎么回事. 它面向了解过如何使用ADT,不过对ADT和递归类型的背后理论感兴趣的人,其他的部分我会尽可能self-contained.
啥是ADT呢?
代数数据类型(Algebraic Data Types)顾名思义就是可以做运算的数据类型. 这里算的数字很简单就是这个数据类型的值的数量.
具有类型
T的值称为T的居留元(inhabitant).
1+1=2
- 1:只有一个值的类型,在Haskell中记作
(),它有很多名字Unit、top $\top$、或者就叫$1$. 在编程语言中,当你没有给函数参数调用它时,其实相当于你给了它一个$()$作为参数:f(). - 加法:对应和类型(sum types). 类型
A和类型B的值都是和类型A + B的值,不过我们要指定这个值是来自A还是B. 在Haskell中,这就是Either A B,用Left和Right来区分. 这样,这个和类型的值的数量就是类型A和B的数量之和. - 2:众所周知,$2 = 1+1$. 我们把两个1加起来
data Two = L () | R (),就得到了有两个值的类型. 对了,有两个值的类型通常叫Bool.
类型同构
这里的等号表示的等价关系其实是说两个类型的值的数量相等,称为类型同构$\simeq$. 和集合一样,我们也可以通过定义类型之间的同构函数来证明两个类型是同构的:这两个类型的值一样多.
例如,我们怎么知道$1+2=2+1$呢?我们可以定义这两个类型之间的同构函数:
1 | to :: Either () Bool -> Either Bool () |
当然我们还要验证$to \circ from=from\circ to=id$. 不过这很显然.
这说明类型上的加法是有交换律的.
我们用类型的同构来定义类型间的相等也很好理解. 如果我们有这一对同构函数,那么在任何使用场景,我们总能通过这个同构函数,把一个类型当做相等的另一个类型来使用,例如:
1 | -- 已知Two = Bool |
更多运算
- 乘法:对应积类型(product types). 不过更熟悉 的称呼应该是(二)元组,大多数编程语言都有的. 元组
(A, B),如果A有$a$个值,B有$b$个,那这个元组类型就有$A\times B$个. - $1\times 2=2$:用1乘上2,
((), Bool),确实只有两个值的((), True)和((), False). - 幂:对应函数类型
A -> B. 同样的,你也可以验证这个类型的值(不同的函数)是否确实是$B^A$个. - 0:是的,我们还需要有0. 你可以猜到的,这是个底下没有值的类型. 称为空类型bottom$\bot$.
类型范畴
这些构造在范畴论中有着一一对应的概念:类型作为对象,类型之间的函数作为态射构成一个范畴.
别害怕!所谓范畴其实就是一堆随便什么东西(称为对象),它们之间有互相指来指去的箭头(称为态射). 当然,这些箭头有一些好的性质,不喜欢看的可以跳过:
- 每个对象都有个到自己的箭头$id$
- 首尾相连的两个箭头可以组合成一个新箭头,例如如果有箭头$f:A\to B$,$g:B\to C$,可以组合成新的从$A$到$C$的箭头$g\circ f:A\to C$.
- $id$箭头复合上别的箭头都等于那个箭头,就是说$id \circ f=f\circ id=f$.
- 复合运算有结合律$h\circ(g\circ f)=(h\circ g)\circ f$.
每个类型都有自己到自己的恒等函数,而复合则是函数的复合. 可以验证它确实是一个范畴.
| 类型论 | 范畴论 |
|---|---|
| 0 | 终结对象 |
| 1 | 初始对象 |
| 和类型 | 余积对象 |
| 积类型 | 积对象 |
| 幂 | 函数对象 |
那递归类型呢?
大多数时候我们说ADT都指的是可以递归的,也就是定义类型的时候可以包括自身. 最经典的递归类型例子是自然数. 例如在Haskell中我们可以定义自然数类型:
1 | data Nat = Zero | Succ Nat |
一个自然数要么是0要么是一个自然数的后继. 这个ADT的定义中Nat = 1 + Nat出现了它自身. 我们已经知道了什么是1、什么是+,可是这种递归的类型到底是什么意思呢?
函子的不动点
仔细看Nat的定义可以发现,Succ的参数的类型就是它自身. 我们把这个自然数类型记作变量$X$,那么这个性质就可以写成:
$$
X=1+X
$$
而我们使用的Nat就是这个等式的(一个)解. 更进一步的,我们可以把右边定义为一个类型函数:
$$
F(X)=1+ X
$$
这样,我们的Nat就是这个函数的一个不动点$X=F(X)$.
刚刚提到,类型构成一个范畴,我们刚刚引入的类型函数,其实可以看做是这个范畴上的一个自函子.
别害怕!在类型范畴的语境下,一个(自)函子$F$的意思是:
- 对于每个类型$A$,都可以作用上$F$得到一个类型$FA$.
- 对于任意的函数$f:A\to B$,可以作用上$F$得到$F f:FA\to FB$.
- $F$还要保持恒等函数和函数复合运算,也就是:$F\ id=id$以及$F(g\circ f)=Fg\circ Ff$.
所以说,$F(X)=1+X$是一个函子,可以自己验证一下.
更一般地,对于其他的递归类型,我们也可以做类似的事情,把定义中递归的地方挖成一个空,这就对应着一个函子,而这个函子的不动点就是我们所说的递归类型了.
等一下,你确定$F(X)=X\to \mathrm{Int}$也是函子吗?好吧,把ADT的任意一个地方挖成一个空不总是对应一个函子:例如在函数参数的位置,可以验证一下这确实无法满足函子的定义.
事实上,Haskell确实支持定义这样的递归类型:例如
data X = X (X -> Int). 这意味着至少Haskell里的递归类型不一定对应一个函子. 不过,有证据表明这种不能表示成函子的递归类型是很坏的,它们会引入无法停机的程序!相反的,当我们限制那些可以表示为函子的类型,在下文中我们看到我们甚至可以把它encode在system F里.
同构
现在还有最后一个小细节,这里的类型之间的相等其实是刚刚提过的类型同构. 也就是说,当我们定义一个递归类型,其实我们想要的是:一个具体的类型$T$,它对于一个函子$F$(定义的右边部分),存在一对同构函数$T\to FT$和$FT\to T$. 例如,当我们在说自然数类型的时候,其实我们想要的是:
1 | -- 一个神秘的类型T |
当然,我们的Haskell中的定义就是符合这个定义的一个$T$:
1 | -- 一个神秘的类型T = Nat |
我们很轻易就可以看出这确实是一对同构函数. 不过我们可以稍微再仔细看看这里到底发生了什么.
首先NatF Nat这个类型是什么呢?我们展开它的定义:
1 | NatF Nat = Zero' | Succ' Nat |
我们发现它就是把原来的Nat包在了Succ'里,并另外提供一个新的Zero',这正对应着$1+T$. 这就相当于是在原来我们有的自然数的基础上,增加了一个元素.
那么问题来了,这个新得到的类型NatF Nat和原来的Nat类型的元素数量一样多吗?答案是肯定的,我们只要像这样错开一个数,就能重新一一对应了:

你可以发现这就是我们刚刚定义的同构函数. 于是,我们证明了我们定义的Nat类型确实是满足$T\simeq 1+T$的. 正因为有这个性质,我们在任何时候都可以把T当做1+T或者把1+T当做T来用. 在代码中,这意味着我们确实可以无限地展开,这些都是这个类型的值:
1 | data Nat = Zero | Succ Nat |
是的你发现了,这就是希尔伯特旅馆!
这个Nat的定义是Haskell给我们的,不过,我们真的需要它吗?有没有种可能我们不用Haskell提供的这一特性可以免费得到它呢?现在让我们忘记Haskell给我们的递归类型吧,我们从头发明它.
《我忘记了如何在Haskell中定义递归类型》
从零开始的递归类型
稍等一下,作为准备工作在正式开始之前,先介绍一下F-代数吧!我保证这很快的,如果不想看的话跳过下一节也完全没问题.
要加速咯!
从F-代数开始
简单的说,我们可以用一个函子来表示一个代数结构,怎么做呢?拿最熟悉的幺半群为例,我们先回忆一下幺半群的定义需要什么:
一个集合$m$
一个封闭的二元运算$\mu : m \times m \to m$
和其中的一个元素(幺元)$\eta : 1 \to m$
还记得ADT的性质吗?$m\simeq m^1$也就是$1\to m$.
我们把需要的这些数据打包成一个表示幺半群的类型,利用ADT的性质可以整理为:
$$
m^{m\times m}\times m^1\simeq m^{m\times m + 1}\simeq m\times m+1\to m
$$
我们可以把左边$m\times m + 1$看做一个函子$F(X)=X\times X+1$应用在类型$m$上,这样一个幺半群可以定义为一个对$(m, F\ m \to m)$. 嗯,这看起来很自然,箭头左边$F\ m$是这个代数需要的一堆运算的打包,而右边这个$m$则表示这些个运算在$m$上是封闭的.
使用不同的函子,我们可以推广到别的代数结构. 更一般的,对于任意一个(自)函子$F$,我们取一个对象$a$和一个态射$F\ a\to a$,这个二元组$(a, F\ a\to a)$称为一个F-代数. 下文中,我们可以简单的把这个态射$F\ a\to a$表示这个代数.
是的你发现了,这个定义并没有包括幺半群需要满足的代数性质.
我们现在使用函子来表示代数了,同样的我们可以考虑代数之间的同态. 还是以幺半群为例,一个从幺半群$A$到幺半群$B$的同态$f$需要满足$f(1_A)=1_B$,$f(x \times_A y)=f(x)\times_B f(y)$. 用我们的形式写写看这个条件:
- 设$f: F\ a \to a,\ g: F\ b\to b$为两个F-代数. 同态$m: a\to b$需要满足$m(f(F\ x))=g(F\ m(x))$.
这对应着这张交换图:

函子$F$负责处理这个结构:通过把$m$提升为$F\ m$,原本$a\to b$的函数变成了$(a \times a + 1)\to (b \times b + 1)$的函数,这就是$f(x \times_A y)$是如何变成$f(x)\times_B f(y)$的.
ok了,根据这个定义,如果态射$m:a\to b$满足这个交换图的话,我们称它是从F-代数$f$到$g$的同态. 更进一步可以发现,以F-代数作为对象,F-代数之间的同态作为态射的话,又可以构成一个范畴. 这就是F-代数范畴.
递归类型作为F-代数
速速言归正传. 我们刚才提到递归类型对应着一个函子$F$,一个类型$T$以及一对同构$T\to F T$和$FT\to T$. 是的你发现了,这个$FT\to T$的函数就对应着一个F-代数!
嗯嗯你说得对,那$T\to FT$呢?别急,我们很快就会讨论这另一个方向.
好吧,这并没有什么,我们有很多很多这样的函数. 例如对于NatF来说,我们取()类型:
1 | foo :: NatF () -> () |
就定义了一个它的F-代数,但()显然不是我们想要的那个递归类型. 怎么从这一堆的F-代数中选出我们的那个递归类型呢?
初始F-代数
在一个范畴中,如果其中的一个对象到这个范畴中的任意对象都有唯一的态射,则它是初始对象(initial object).
初始对象不是一定存在的.
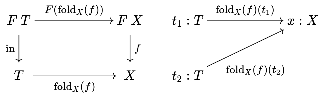
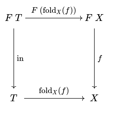
现在我们来看看函子$F$的F-代数范畴的初始对象长什么样吧. 假设我们有这个初始对象$(T, FT\to T)$,首先根据定义,它到任意的F-代数都有一个态射. 在F-代数范畴中一个态射意味着一个同态,也就是说,对于任意的F-代数$f:FX\to X$都有一个同态,记为$\mathrm{fold}_X(f):T\to X$,如下图所示:
我们把这个初始对象的态射记为$\mathrm{in}:FT\to T$.

接下来,因为它对任意的F-代数都有这个性质,我们先再考虑另一个F-代数$g:FY\to Y$,并且有同态$h:X\to Y$. 同时,因为$T$的初始性,我们同样有从T到Y的同态$\mathrm{fold}_Y(g):T\to Y$:

我们知道范畴中的箭头是可以复合的,而$T$的初始性又告诉我们,从$T$到$Y$的同态有且只有一个,因此我们有了第一个结论:
$$
h\circ\mathrm{fold}_X(f) = \mathrm{fold}_Y(g)\tag{1}
$$
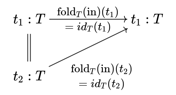
然后,因为$T$自己也是一个F-代数,我们有:

我们知道任意对象都有到自己的$id$态射,而同时$T$又有唯一的到自己的同态$\mathrm{fold}_T(\mathrm{in})$,因此我们有第二个结论:
$$
\mathrm{fold}_T(\mathrm{in})=id_T \tag{2}
$$
有趣的是,如果一个代数有到任意其他代数的那个$\mathrm{fold}_X$,并且满足$(1)$和$(2)$这两个条件,也可以推出它就是初始代数(推出唯一性). 首先由$(1)$,我们把其中的$X$换成$T$,$Y$换成$X$(只是为了好看,这个换不换都行啦):

又因为条件$(2)$,我们知道$\mathrm{fold}_T(\mathrm{in})$其实就是$id_T$. 我们有$h\circ id_T=\mathrm{fold}_T(\mathrm{in})$,而$h\circ id_T=h$. 也就是说,对于任意的代数$X$,这个同态$\mathrm{fold}_T(\mathrm{in}):T\to X$是唯一的,因此$T$确实是初始代数.
你说得对,那同构在哪?
更神奇的是,如果$(T,\mathrm{in})$是初始F-代数的话,$\rm in$是个同构!也就是说,我们可以免费得到另一个反方向的箭头$\mathrm{out}:T\to FT$,而且满足$\mathrm{in}\circ\mathrm{out}=\mathrm{out}\circ\mathrm{in}=id$. 怎么做呢?
首先,因为$F$是个函子,我们可以作用在$\mathrm{in}:FT\to T$上得到$F\ \mathrm{in}:F(FT)\to FT$. 我们发现这同样是个以$FT$为对象的F-代数. 因此,结合$T$的初始性,不是我们有从$T$到$FT$的同态嘛,也就是$\mathrm{fold}_{FT}(F\ \mathrm{in}):T\to FT$. 而且,这个同态是唯一的,因此它就是$\mathrm{out}=\mathrm{fold}_{FT}(F\ \mathrm{in})$. 很神奇吧!

不过你先别急,我们还要验证这是否真的构成同构呢. 现在让我们凝视下面这张有魔力的图:

左边这个方块就是刚刚的图,而右边的方块仔细看发现是废话. 不过很快我们可以发现$\mathrm{in}\circ\mathrm{out}$是个从$T\to T$的同态,而$id_T$也是. 由唯一性我们可以得到$\mathrm{in}\circ\mathrm{out}=id$.
现在我们再看左侧方块,由函子的性质我们有:
$$
\mathrm{out}\circ\mathrm{in}=F\ \mathrm{in}\circ F\ \mathrm{out}=F\ (\mathrm{in}\circ \mathrm{out})=F\ id=id
$$
完成了,现在我们可以很放心的说$\rm in$和$\rm out$确实是一对同构了!
最后一块拼图?
回顾一下,我们刚刚证明了对于函子$F$的F-代数,初始代数$(T,\mathrm{in}:FT\to T)$(意味着我们有到其他代数的唯一同态$\mathrm{fold}_{X}(g)$)和免费得到的$\mathrm{out}:T\to FT$构成同构. 这正对应着我们刚才讨论的递归类型的定义:$F$的初始代数就是我们想要的那个不动点$T\simeq FT$. 更进一步的,在这个F-代数范畴,我们将$X\to Y$视为偏序关系$X \sqsubseteq Y$的话,我们的初始代数对应的就是$F$的最小不动点.
现在我们只差最后一步了:我们要不用Haskell的递归类型,在system F中找到这个初始代数$(T,\mathrm{in}:FT\to T)$. 在之前,我们都是以类型范畴为视角来讨论的. 现在为了实现$T$,我们深入进去pointwise地观察$T$的每个值需要满足什么性质:
首先,我们知道$T$到任意一个$X$都有一个$\mathrm{fold}$同态. 它的类型可以很轻松地表示:
$$
\mathrm{fold}: \forall X. (F\ X\to X) \to T \to X
$$
现在我们考虑$t_1:T$,我们应用这个同态会得到一个值$x:X$. 现在我们观察如果有另一个$t_2:T$,它对于应用这个同态都会得到相同的$x:X$会发生什么:

和之前一样,因为我们知道$T$到自己有个特殊的同态$\mathrm{fold}_T(\mathrm{in})=id_T$,于是我们很快就会发现$t_1=t_2$:

反过来说,对于$T$类型的每一个不同的值$t_1$,$t_2$,总存在某个$\mathrm{fold}_X(f)$使得应用上它们会得到不同的值$\mathrm{fold}_X(f)(t_1)\not= \mathrm{fold}_X(f)(t_2)$.
对于每一个$t:T$,我们可以把它对于任意的$\mathrm{fold}$的作用结果用一个函数表示:
$$
\Phi:T \to (\forall X. (F\ X\to X) \to X)\\
\Phi = \lambda t.\Lambda X. \lambda f: F\ X\to X. \mathrm{fold}_X\ f\ t
$$
我们刚刚的结论,确保了这个函数是个单射(对不同的$t$,得到的那个函数总是不同的). 接下来我们只需要证明它还是个满射,我们就能愉快地得到$T \simeq \forall X. (F\ X\to X) \to X$了.
满射,也就是说对于任意$g:\forall X. (F\ X\to X) \to X$,都有$t:T$使得$\Phi(t)=g$.
首先我们取初始代数作为参数是可以得到$g_T\ \mathrm{in}:T$的. 接下来要证明$\Phi(g_T\ \mathrm{in})=g$成立.
我们左侧展开定义,右侧$\eta$-展开,即证:
$$
\Lambda X. \lambda f: F\ X\to X. \mathrm{fold}_X\ f\ (g_T\ \mathrm{in})=\Lambda X. \lambda f: F\ X\to X.g_X\ f
$$
遗憾的是这个结论在范畴论框架下并不好证,Wadler告诉我们这需要结合system F的parametricity才能得到.
根据parametricity,由$g$的类型,我们可以得到对应的free theorem:
- 对任意函数$a:A \to A’$,都有
- 对任意$f:FA \to A$,$f’:FA’ \to A’$,如果$\forall x,x’.\ F\ a\ x=x’ \Rightarrow a\ (f\ x)=f’\ x’$
- 则有$a\ (g_A\ f)=g_{A’}\ f’$成立.
所以我们可以取$a=\mathrm{fold}_X\ f:T\to X$,$f = \mathrm{in}$,$f’=f$. 这样前提就变成了:
- $\forall x,x’.\ F\ (\mathrm{fold_X}\ f)\ x=x’ \Rightarrow \mathrm{fold_X}\ f\ (\mathrm{in}\ x)=f\ x’$
这个式子画成交换图的话就是:

是不是很眼熟,这就是我们的同态条件,这个显然已经满足了. 于是我们把它们都代进去,就愉快地得到了结论:
$$
\mathrm{fold}_X\ f\ (g_T\ \mathrm{in})=g_{X}\ f
$$
至此我们就证明完毕了,$T \simeq \forall X. (F\ X\to X) \to X$. 也就是说,$\forall X. (F\ X\to X) \to X$就是我们想要的$F$的最小不动点,我们可以把它当做我们的递归类型来使用!
如果没有parametricity的话,这个encoding就不是初始F代数.
免费的递归类型!
在一番推导后,我们终于重新发明了递归类型. 现在我们来验证一下吧. 还是以自然数为例,现在我们可以给出它们的完整定义了:
1 | -- 一个神秘的类型T = forall a. (NatF a -> a) -> a |
我们可以验证一下它和我们正常定义的自然数类型是不是同构的:
1 | data Nat = Zero | Succ Nat |
太好了,我们成功发明了递归类型!
总结
回顾一下:我们首先介绍了类型之间的运算是什么,类型同构作为类型之间的等价关系. 然后我们通过把递归类型表示为成一个类型范畴上的自函子$F$的一个不动点. 接着我们引入了F代数的概念,并发现这个不动点对应着F代数范畴中的初始F代数. 由此,我们进一步在System F中找到了这个类型,发现了递归类型的另一种实现方法.
参考
[1] Philip Wadler, “Recursive types for free!”, 1990. https://homepages.inf.ed.ac.uk/wadler/papers/free-rectypes/free-rectypes.txt
[2] Philip Wadler, “Theorems for Free!”, 1989. https://dl.acm.org/doi/pdf/10.1145/99370.99404
- 本文作者: Frankenstein
- 本文链接: https://salty-frankenstein.github.io/blog/2025/07/10/【函数式】免费的递归类型?/
-
版权声明:
本博客文章采用 CC BY-SA 4.0 协议进行许可。转载请注明作者与原文链接。